Comparing Continuous Glucose Monitoring (CGM) and Blood Glucose Monitoring (BGM) in Adults with Inadequately Controlled, Insulin-Treated Type 2 Diabetes (Steno2tech Study)

A 12-Month, Single-Center, Randomized Controlled Trial

Research Spotlight

Lind N, Christensen MB, Hansen DL, Nørgaard K. Comparing Continuous Glucose Monitoring and Blood Glucose Monitoring in Adults With Inadequately Controlled, Insulin-Treated Type 2 Diabetes (Steno2tech Study): A 12-Month, Single-Center, Randomized Controlled Trial.1 Diabetes Care. 2024;47(5):881-889. doi:10.2337/dc23-2194

Download Resource

Purpose of Study

To compare the 12-month effects of Dexcom RT-CGM versus BGM in adults with poorly controlled (A1C >/= 7.5%).

 

Demographics (n=76)

Study participants were:

  • Adults with T2D for over 1 year
  • HbA1C >/= 7.5%
  • Insulin at least once daily
    • 56% were on at least 3 medications
  • Dexcom G6 CGM*

One of the first T2 RCTs using CGM that was conducted in a study with a population with a high use of GLP1RA and SGLT2i.

Methods

12-month single-center, open-label, parallel, randomized controlled trial (RCT).  

Participants were randomly assigned to Dexcom G6 CGM (n = 40) or BGM (n = 36).  Participants in both groups received 3-hours of diabetes self-management education (DSME).  

Minimum study contacts replicated real-world usual care.  HCP visits took place every 3 months.

 

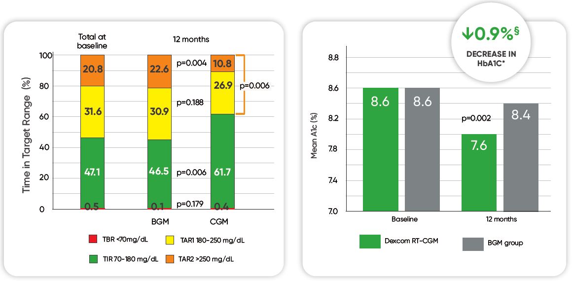
Glycemic & Metabolic Outcomes

When compared to BGM, CGM* use was associated with significantly improved outcomes.  The improvements in A1C together with a decrease in total daily insulin, BMI, and body weight was achieved without increasing other glucose-lowering treatments1.

  • 15.2% more TIR2 (3 h 39 min a day)
  • 15.8%§ decrease in TAR
  • 0.9%§ decrease in HbA1C
  • 10.6% units less insulin
  • 3.3 kg decrease in body weight (self-reported)
Image

7.5% of participants in the CGM group no longer required insulin for treatment at 12 months (p = 0.13)1


Key Takeaways for Dexcom CGM

  • Significant improvement of TIR2 in the Dexcom RT-CGM treated group compared to BGM treatment at
    6 months which sustained until 12 months. 
    • 6 months: 12.4% TIR improvement (2 h 59 mins/day), P=0.021. 
    • 12 months: 15.2% TIR improvement (3 h 39 mins/day), P=0.006).1
  • The empowerment of people to make informed changes in their lifestyle is supported by the between group
    difference in TIR peaking during the day and changes in diet and activity.1
  • Treatment de-escalation is supported by significant reduction of total daily dose of insulin (TDD), and a tendency to lower MDI and lower insulin dependency, without increase in other glucose-lowering
    treatments.
  • Dexcom RT-CGM significantly improved glycemic, and self-reported metabolic participant outcomes
    compared to BGM in adults with insulin-treated type 2 diabetes.

Download Resource

* CGM – Continuous glucose monitoring, BGM – Blood glucose monitoring, TIR – Time in range (70-180 mg/dL), TAR– Time above range (>250 mg/dL) The mean active sensor time assessed during the last blinded CGM at 12-month follow-up was 96.3%

† Group results from baseline to 12 months. ‡ (95% CI: 4.6; 25.9)% (P = 0.006) § (P =0.006)

 

References

  1. Nanna Lind, Merete B. Christensen, Dorte L. Hansen, and Kirsten Nørgaard, Diabetes Care 2024;47(5):1–9; doi:10.2337/dc23-2194
  2. Battelino T, Danne T, Bergenstal RM, et al. Diabetes Care 2019;42(8):1593–1603; doi: 10.2337/dci19-0028